Respirando aria pulita si pensa meglio
Uno studio dell’università di Harvard mostra la correlazione tra la qualità dell’aria nell’ambiente e le capacità cognitive.
Lavorare in un ambiente ben ventilato e con una ridotta percentuale di inquinanti ambientali e anidride carbonica (CO2) consente di ottenere risultati migliori nei test di funzionalità cognitiva rispetto a quando ci si trova in ambienti con livelli “standard”.
Lo studio, condotto dal Dipartimento di Salute Ambientale dell’università di Harvard in collaborazione con l’università di Syracuse, è stato pubblicato sulla rivista Environmental Health Perspectives.
I ricercatori hanno esaminato il ruolo della ventilazione, dei composti organici volatili (VOC) e dell’anidride carbonica sulle funzioni cognitive di un set di volontari che, in un ambiente lavorativo simulato, sono stati sottoposti a dei test in doppio cieco. La ragione dietro questo studio è la crescente sensibilità verso l’efficienza energetica degli edifici, che ne ha aumentato l’isolamento dall’esterno con effetti non sempre positivi. Il ridotto ricambio d’aria, infatti, è tra i principali responsabili della “sindrome da edificio malato” (o SBS dall’inglese “sick building syndrome“). I nuovi progetti di tipo “green” degli edifici si propongono l’obiettivo di superare questo problema, coniugando l’efficienza energetica con l’aumento della qualità dell’aria indoor.
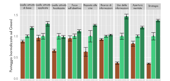
Ai 24 volontari coinvolti nello studio è stato chiesto di svolgere le proprie normali attività per sei consecutivi in un ufficio in cui sono state create diverse condizioni ambientali: condizioni “Standard” con le concentrazioni di VOC e CO2 che normalmente si riscontrano negli ambienti di lavoro, condizioni “Green” con una ridotta concentrazione di VOC e condizioni “Green+“, cioè condizioni green con un aumento della ventilazione. Al termine di ciascuna giornata lavorativa i volontari sono stati sottoposti a test cognitivi di varia natura per testare diverse abilità mentali.
“Ognuno di noi trascorre il 90% del proprio tempo all’interno di un edificio”, osserva Joseph Allen, direttore dell’Healthy Buildings Program dell’università di Harvard e principale autore dello studio, “e questi risultati suggeriscono che anche un piccolo miglioramento delle condizioni ambientali indoor potrebbe influire profondamente sulle performance dei lavoratori.”
(Riprodotto con adattamenti da “Environmental Health Perspectives”)
Il risultato, per certi versi non sorprendente, è stato che i punteggi dei volontari che avevano lavorato nelle condizioni “Green+” erano in media il doppio di quelli che avevano lavorato in condizioni “Standard“, mentre quelli degli uffici “Green” erano il 61% superiori a quelli “Standard“. In particolare le abilità che hanno mostrato maggiori differenze in funzione della qualità dell’aria sono state la risposta alle situazioni di crisi, la capacità di formulare strategie e l’abilità nell’uso delle informazioni.
È quindi sempre consigliabile monitorare le condizioni ambientali della propria azienda, non solo per tutelare la salute e la sicurezza dei lavoratori, ma perché il benessere ambientale migliora la performance lavorativa. Chiedi una consulenza e un preventivo gratuiti.


